Перейти к основному разделу
Чат
  • Қаз
  • Рус

Уведомления

Подать объявление
Телефон. Квал тест опз пбб
РекламироватьПоднять

Частное лицо

Марка телефона: Acer

Объем встроенной памяти: 4 Гб

Операционная система: Другая

Диагональ экрана: 4.1"-4.5"

Состояние: Б/у

Описание

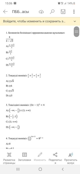
Казакша математика квал тест 2025. Опз бпп
ID: 381476254

Связаться с продавцом

Нурхан

на OLX с февраль 2017 г.

Онлайн вчера в 12:10

xxx xxx xxx

Опубликовано 20 февраля 2026 г.

Телефон. Квал тест опз пбб

15 000 тг.

Договорная

Пользователь

Местоположение

Бесплатное приложение для твоего телефона